Congratulations to Sam on New Antimicrobial Hydrogels Publication

Antimicrobial Hydrogels Publication 2025

Congratulations to Sam and the team on the publication of a new paper in Antibiotics!

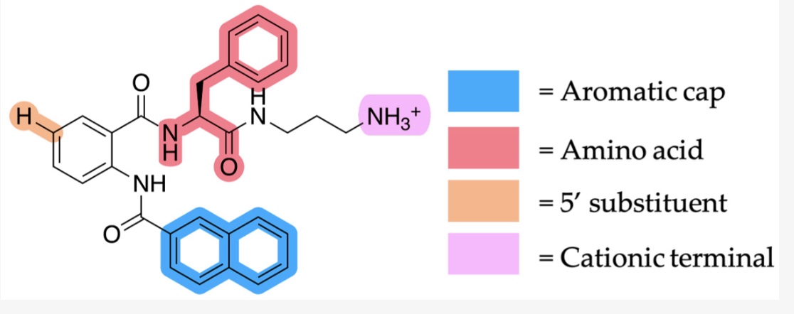
Background/Objectives: There is a growing demand for the development of novel antimicrobial agents due to their efficacy being eroded by increasing antimicrobial resistance. Antimicrobial hydrogels have been reported as a method to treat bacterial infections.

Methods: This study explores how different structural features are important for the hydrogelation properties of amphiphilic antimicrobial peptide-mimics through rheology and AFM, as well as properties important for antimicrobial activity measured through MIC.

Conclusions: This work provides an insight into how the structural features of low-molecular-weight self-assembling hydrogels can translate to differing physical and potent antimicrobial properties. This work provides a rational guide to optimising physical hydrogel properties, as well as highlighting features that may reduce hydrogelation.

Publication details:

  • Journal: Antibiotics
  • Title: Structural Features of Antimicrobial Peptide-Mimic Hydrogels
  • DOI: 10.3390/antibiotics14111118
  • Authors: Samuel T. Attard, Vina R. Aldilla, Rajesh Kuppusamy, Renxun Chen, David StC. Black, Pall Thordarson, Mark D. P. Willcox, and Naresh Kumar
  • Published: November 5, 2025

Congratulations to Sam and all co-authors on this outstanding achievement! This work provides valuable insights into the design of antimicrobial hydrogels and their applications in treating bacterial infections.